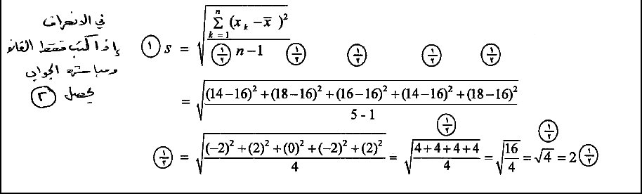
الكتابة بغير اللون الأسود هي إضافة للحل الموجود (كتوضيح)