الغايــات
الغاية أو النهاية كما يسميها البعض والمقصود
بها غاية دالة عند نقطة أو في فترة، وغالباً نقول عند الاقتراب من نقطة للوصول
للنقطة نفسها، ولنقل مثل بسيط كسكب الماء في إناء فكلما ازداد ارتفاع الماء في الإناء
كلما اقترب حجم الفراغ للصفر، والبعض يقول من باب التسلية كلما ازداد عمر الإنسان
كلما اقترب من حافة القبر أو الموت فأن جاء آجله مات والعديد من الأمثلة التي تبين
لنا مفهوم اقتراب متغير(س) من عدد(أ) مثلاً وقد يختلف اثنان عن معنى الاقترب فلو
كانت س تقترب من العدد 2 فالأول يقول 2.0001، 2.00001، 20.000001،... والآخر يقول
1.99، 1.999، 1.999، ...فكلاهما يقترب من 2 فالأول أكبر من 2 أو عن يمين 2 في حين
الثاني أقل من 2 أي عن يسار 2 والاختلاف هذا يؤكد لنا أن الاقتراب موجود من اليمين
واليسار وقد يسأل سائل ما هو الاختلاف بينهما طالما يريدان الوصول للعدد 2 نقول قد
يكون يمين 2 هو الصورة س + 2 وفي يسار 2 هو الصورة س2 كدوال فيرد بالقول عند 2 يكون كل منهما
ناتجه 4 نقول رغم الاختلاف في اليمين واليسار إلا أنهما متفقان في الناتج ولكن لو
تكلمنا عن 3 فيكون الأول ناتجه 5 في حين الثاني ناتجه 9 وهنا نقول شئ آخر نوضحه
لاحقاً، ولا يمكن ظهور لفظ اليمين واليسار عند عدد إلا في حالة اختلاف ما قبله عما
يليه
وغاية دالة مثل د(س) عندما تقترب س من أ هو ل نكتبها بالصورة
![]()
والمشكلة هنا تكمن في د(س) وهي أما تكون
1)
كثيرة حدود
بأي درجة والمقصود بكثيرة الحدود بعدم وجود كسر أو أس سالب أو جذر سالب وهي على
الصورة
![]()
2) دالة نسبية(كسر مقامه على الأقل يشتمل على
المتغير س مثلاً بصرف النظر عن كون
مقامه يساوي الصفر أم لا)

3) دالة نسبية جذرية (تشتمل على حداً جذرياً سواء
في البسط أو المقام أو كلاهما مثل)

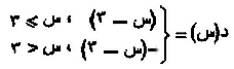
4) دالة معرفة بقاعدتين وهي أما أن تكون مباشرة مثل

أو غير مباشرة وهي دالة
المقياس(القيمة المطلقة) والتي يجب إعادة تعريفها لتأخذ الصورة المباشرة السابق
ذكرها مثل |س ـ 3| والمقصود بإعادة التعريف حذف المقياس وذلك بالبحث عن قيمة س
التي تجعل قيمته تساوي صفر ففي |س ـ 3| ، س ـ 3 = صفر أي س = 3 ويكون لدينا الصورة الآتية على خط الاعداد
والتي يمكن من خلالها كتابة الدالة د(س) = |س ـ 3| من جديد بدون مقياس

وهي مطابقة تماماً لبحث
إشارة الدالة د(س) = أ س + ب التي تتغير عند صفر الدالة س = ـ ب/أ وعليه تكون الدالة د(س) = |س ـ 3| بعد إعادة
تعريفها بالصورة الآتية

وبالطبع سيكون الأمر
أكثر صعوبة إذا كانت دالة المقياس من الدرجة الثانية حيث تخضع في إعادة تعريفها
لبحث إشارة الدالة
![]()
والتي يعاد تعريفها في
فترات ثلاث احداها بين صفري الدالة بإشارة مخالفة لإشارة معامل س2 وفي
الفترتان نفس إشارة معامل س2 وسيتنم شرح ذلك بالتفصيل ضمن مثال عند بحث
هذه النوع من مسائل الغايات